
로봇팔의 무모델 기반 카테시안 위치 제어 성능 향상을 위한 시간 지연제어기의 안정성에 대한 연구
Copyright© ICROS 2025
Abstract
This paper presents the time-delayed control implemented in the Cartesian space for a robot manipulator. The constant inertia-based dynamics in the Cartesian space is derived for the nonmodel time-delayed control method. To compensate for uncertainties in a nonmodel-based control scheme, the time-delayed controller (TDC) in the Cartesian space for robot manipulators is formulated and implemented. The TDC can be designed on the basis of the constant inertia-based dynamics in the Cartesian space. Since the constant value of the inertia plays an important role for the stability as well as the performance, the stability ranges of the TDC for the Cartesian space are analyzed and found. Simulation studies are performed to support the proposition.
Keywords:
robot manipulator, nonmodel-based control, time-delayed control, stability, Cartesian space controlI. 서론
최근에 로봇팔은 그 크기가 점점 작아져 인간의 팔을 대체하는 다양한 용도로 사용되고 있다. 인간이 수행하는 대부분의 서비스 작업에 협업로봇이라 불리는 로봇 팔이 일상생활에 사용되면서 공장으로부터 가정으로 공간의 이동뿐만 아니라 산업공정작업에서 서비스작업으로의 업무에 대한 이동이 발생하고 있다[1,2]. 인간이 협업로봇과 함께 작업하거나 보조하는 등의 서비스 작업이 늘어남에 따라 안정성 문제가 크게 다가오고 있다.
또한 AI 기술의 발전과 함께 로봇이 인간과 협업할 수 있는 기술이 더욱 필요하게 되어 위치제어 기술뿐만 아니라 더욱 세련된 힘제어 기술을 요구하고 있다[3,4]. 힘제어 성능을 높이기 위해서는 우선적으로 해결해야 할 것이 위치제어 성능이다. 각 축 방향으로 위치제어가 잘 되어야 힘제어 성능이 좋아진다. 힘제어는 카테시안 공간에서 이루어지므로 카테시안 위치제어의 성능을 높이는 것이 요구되는데 이를 위해 필요한 것이 동적 모델이다.
모델 기반 제어방식에서는 로봇의 동적 모델을 사용하여 동역학 요소들을 서로 상쇄하므로 축 간 또는 조인트 사이의 간섭을 줄일 수는 있지만 모델을 정확하게 아는 것은 어렵고 모델되지 않는 불확실한 동적요소들이 존재하여 성능을 저하시킨다. 모델 변수를 정확히 알아내기 위해 학습방법을 사용하기도 한다[5-7]. 하지만 학습을 통한 모델인식은 시간이 오래 걸리고 학습 환경에 따라 영향을 받는 문제가 있다.
따라서, 로봇의 동적 모델을 전혀 필요로 하지 않는 제어 방식이 필요하다. 로봇의 동적 모델을 전혀 사용하지 않는 경우에는 비선형 모델들이 각 조인트에 서로 섞여 있어 각 축 방향의 독립적인 제어를 수행하는 것이 매우 어렵고 도전적이다.
로봇의 동적 모델을 제어기에 사용하지 않는 카테시안 위치 제어의 성능을 높이기 위한 제어방식으로 시간지연제어기가 있다[8-14]. 시간지연제어방식은 강건제어방식의 하나로 모델이 필요 없이 이전 샘플시간의 정보를 사용하여 동적요소를 모두 소거하므로 로봇의 각 조인트 또는 각 축을 독립적으로 만드는 제어방식이다. 시간지연에서 해결해야 할 문제로는 시간지연문제, 가속도 신호 평가, 관성행렬[15-17]이 있으며 외란 관측기와 유사성이 있고[18] 이에 대한 많은 연구가 진행되어 오고 있다.
본 논문에서는 무모델 카테시안 제어 기반의 시간지연제어기를 구현하고자 한다. 먼저 로봇의 카테시안 동역학을 구하고 이를 다시 상수 관성 행렬 형태의 동역학식으로 표현한다. 그 다음에 상수 관성 행렬로 표현된 동역학식을 제어하기 위해 모델을 사용하지 않는 시간 지연 제어기를 적용한다. 카테시안 상수 관성 행렬의 안정성 영역을 이론으로 구하고 로봇 팔의 시뮬레이션을 통해 구한 결과와 비교 및 분석한다.
II. 로봇 동역학
1. 카테시안 공간의 동역학
로봇은 multi-input multi-output 시스템이고 비선형이며 각 조인트가 서로 영향을 주고 받는 서로 연결된 시스템이다. 제어성능은 이 연결을 해결하는데 달려 있다. 다음은 n관절의 로봇 동적 모델을 나타낸다.
| (1) |
여기서 는 n×n 관성(inertia) 행렬, 는 n×1 벡터의 Coriolis와 원심력 토크, 는 n×1 벡터의 중력, 는 n×1 벡터의 불확실성 토크이고, 는 n×1 벡터의 구동 토크이다. 또한 는 n×1 벡터의 각도이고 는 n×1 벡터의 각속도, 는 n×1벡터의 각가속도이다.
식 (1)에서 관성텀을 뺀 나머지 모델을 하나로 하여 간단히 표현하면 다음과 같다.
| (2) |
여기서 이다.
조인트 공간을 카테시안 공간으로 변환하기 위해서는 시간 함수를 생략하고 다음의 조인트 각속도와 직교공간의 선속도와의 자코비안 관계를 이용한다.
| (3) |
여기서 는 n×1직교좌표의 선속도 벡터이고 는 n×n자코비안 행렬이다.
식 (3)을 미분하면 조인트 각가속도를 얻는다.
| (4) |
| (5) |
의 선형 힘과 조인트 토크와의 관계식을 (5)에 대입하고 정리하면 다음과 같다.
| (6) |
(6)을 정리하면 직교 공간에서의 로봇 동역학식을 구할 수 있다.
| (7) |
여기서 는 직교 공간에서의 관성 행렬, 는 직교공간에서의 코리올리스힘, 원심력과 중력을 나타내는데 기구학에서 나타나는 자코비안 행렬의 불확실성도 포함하고, F(t)는 실제 선형 힘을 나타낸다.
2. 카테시안 공간의 상수 관성 기반의 동역학
식 (7)에서 상수 관성 행렬 를 더하고 빼면 다음과 같다.
| (8) |
식 (8)을 정리하면 상수 관성 행렬로 표현되는 동역학식이 된다.
| (9) |
여기서 이고 상수 관성 행렬 이며 는 카테시안 관성 상수이다. 식 (9)를 기준으로 제어기를 설계한다.
모델을 사용하지 않는 무모델 제어 방식을 살펴보자. 먼저 직교공간에서 위치 추종 오차는 다음과 같이 정의한다.
| (10) |
여기서 는 직교공간에서 주어진 기준 위치, 는 실제 위치, 는 주어진 기준 선속도, 는 실제 선속도이다.
그림 1에서 제어 입력은 다음과 같다.
| (11) |
III. 카테시안 공간에서의 로봇 제어
카테시안 공간에서 오차를 줄이는 식은 다음과 같이 PD 제어 형태로 정한다.
| (12) |
여기서 는 제어기 이득행렬이다.
동역학식 (7)과 제어법칙 (12)를 연립하면 다음과 같다.
| (13) |
식 (13)에서 양변에 를 더하고 우항의 를 좌항으로 이동하여 오차의 이차식으로 정리하면 다음과 같이 오차 방정식으로 유도된다.
| (14) |
식 (14)에서 보면 정상상태에서 추종 오차가 크게 나타나고 로봇의 위치에 따라 달라지는 것을 볼 수 있다. 따라서 오차를 줄이기 위해서는 모델을 사용하거나 제어기 이득값을 상대적으로 크게 해야 한다. 하지만 PD제어기를 사용할 경우에 큰 제어기 이득값을 사용하면 로봇의 경로 수행 성능을 향상시킬 수는 있으나 비선형 불확실성을 보상하기 어려운 한계에 이른다.
IV. 카테시안 시간지연제어
식 (9)로부터 관성을 뺀 나머지 동역학식 는 다음과 같이 표현된다.
| (15) |
하지만 같은 시간에 식 (15)의 우항이 준비되어 있지 않으므로 시간 지연 제어에서는 이전 샘플링 시간의 정보를 이용한다.
| (16) |
여기서 T는 샘플링 시간이다.
결과적인 카테시안 시간지연 제어법칙은 다음과 같다.
| (17) |
제어입력 v(t)는 다음과 같다.
| (18) |
카테시안의 제어 법칙 (17)을 조인트 공간으로 변환하기 위해 자코비안을 사용하면 다음과 같다.
| (19) |
여기서 KT는 토크 상수이다. 식 (19)의 제어 법칙에서 보면 자코비안 행렬과 이전 샘플 시간의 가속도와 제어 입력이 필요한 것을 알 수 있다. 시간지연제어의 모든 변수들이 카테시안 공간에서 구현되고 있다. 그림 2에 제어블록선도가 나타나 있다.
V. 카테시안 시간지연제어의 안정성
카테시안 시간제어 법칙(CTDC) 식 (18)에서 상수 관성행렬의 값이 안정성에 미치는 영향이 크므로 안정한 영역을 구해보자. 식 (17)로부터 카테시안 오차는 다음과 같다.
| (20) |
(20)의 양변에 카테시안 관성 행렬 를 곱하면 다음과 같다.
| (21) |
카테시안 공간의 동역학식 (7)로부터 는 다음과 같다.
| (22) |
| (23) |
카테시안 제어법칙 (17)을 (23)에 대입하여 정리하면 다음과 같다.
| (24) |
식 (24)에 (7)의 시간 지연된 동역학 를 대입하면 다음과 같다.
| (25) |
여기서 이다.
식 (25)에서 양변을 로 나누면 다음과 같다.
| (26) |
식 (26)에 를 대입하면
| (27) |
식 (27)에 를 더하고 뺀 뒤에 정리하면 다음과 같다.
| (28) |
식 (28)은 ε(t)에 대한 1차 시간지연식이 된다.
| (29) |
여기서 .
샘플링 시간이 충분히 빠른 경우 r(t)≈0이므로 바운드 되었다고 가정하고 (29)를 이산식으로 표현하면 다음과 같다.
| (30) |
식 (31)의 이산식에서 안정화할 조건은 다음과 같다.
| (31) |
식 (31)의 안정성 영역은 연속 공간에서와 비교하면 관성 행렬의 공간만 다르고 그 형태가 매우 유사하다[15].
VI. SIMULATION STUDIES
1. 2축 로봇 작업 공간
2축 로봇의 작업 공간을 정의하기 위해 그림 3의 2축 로봇을 고려해 보자. 기구학은 다음과 같다.
| (32) |
여기서 이다
먼저 카테시안 작업 공간을 1사 분면으로 한정하여 정의 한다. 로봇 팔이 펴지는 좌표는 가 되고 팔이 펴 있을 경우는 singularity이므로 움직이는 면적은 반지름이 로 팔이 굽혀질 경우의 안쪽 작은 원호의 반지름은 로 정한다. 카테시안 경로는 다음과 같다.
| (33) |
그림 4의 작업공간에서의 로봇 움직임의 시뮬레이션을 통해 구한 식 (31)의 안정성을 만족하는 카테시안 관성 상수는 로 안정성 영역은 이다.
2. 카테시안공간 제어 환경
기준 경로는 그림 5와 같이 작업공간 안에서 좌표(0.4,0.4)를 중심으로 반지름이 r=0.2m 인 원을 그리는 경로로 선택하였다.
| (34) |
각 로봇 링크의 길이와 무게는 표 1에 나타나 있다. 로봇의 초기각도는 이고 초기 위치는 로 하였다. 샘플링 시간은 0.001초로 하였다.
시뮬레이션은 로봇이 원경로를 추종하는 것이다. 기준 경로는 반지름이 0.2m인 x-y 평면의 원이다. 각 제어기의 성능을 비교하기 위해서는 각 조인트에 마찰력을 인위적으로 주고 원경로 추종 결과를 비교 분석한다.
| (35) |
3. 시뮬레이션 결과
먼저 모델을 전혀 사용하지 않는 PD 제어 기반의 카테시안 제어 방식을 사용하였다. PD제어기 게인은 KP=1000I, KD=200I로 하고 토크 상수를 1로 하였다. 그림 5는 원경로를 추종했을 경우를 나타낸다. 그림 5에서 마찰력이 있을 경우의 원 경로에 대한 RMS오차는 448.2317로 매우 큼을 알 수 있다.
| (36) |
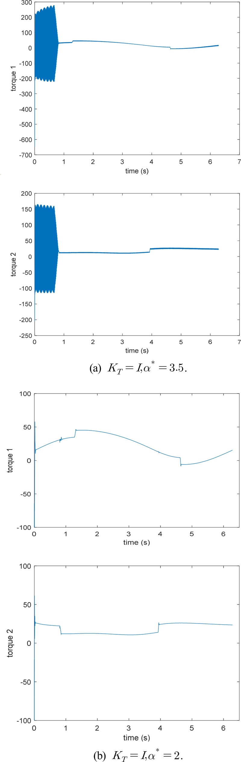
다음으로 카테시안 공간에서 TDC(CTDC)를 구현한 경우이다. 토크 상수는 KT=I로 하였다. 제어기 이득값은 PD 제어와 같고 관성행렬은 를 사용하였다. 값에 따른 추종 시뮬레이션을 실행하였다. 표 2는 값에 따른 추종 오차를 나타낸 것이고 그림 6은 그래프로 표시한 것이다. 표 2에서 보면 시뮬레이션에 의한 안정한 영역은 으로 나타났다.
추종 오차는 α*=3.5일 때에 10.8118로 가장 작았다. 작게는 그림 7 (a)의 α*=0.01로부터 크게는 α*=4에 이르기까지 시뮬레이션하였다. α*=0.001일 경우에는 불안정했다가 α* 값이 증가함에 따라 오차가 점점 줄어들었고 α*=3.5일 때 오차는 최소였으나 α*=4를 넘어서면 불안정해졌다. 하지만 그림 7 (b)의 α*=3.5일 때 토크 그림 8 (a)를 보면 채터링이 심하게 발생하는 것을 볼 수 있다. 그림 8 (b)의 α*=2인 경우의 토크가 채터링이 없이 나타났으므로 이 값을 선택하였다.
VII. 결론
본 논문에서는 카테시안 공간에서 무모델 기반 제어기를 설계할 경우에 외란이나 불확실성에 의한 성능 저하를 해결하기 위해 시간 지연 제어기를 사용하였다. 로봇의 모델을 전혀 사용하지 않는 무모델 기반의 제어 방식에 시간지연제어기를 추가하였다. 2축 로봇의 한정된 작업공간에서 다양한 시뮬레이션을 통해 상수 관성값에 의해 안정성과 성능이 좌우되는 것을 확인하고 최적의 값을 구했다. 여러 시뮬레이션을 통해 카테시안 시간지연제어기의 성능이 우수하다는 결론을 내릴 수 있었다.
Acknowledgments
본 논문은 2024년도 ICROS Conference에서 일부 발표되었음.
본 논문은 2024년도 산업통상자원부의 재원으로 한국산업기술진흥원의 지원을 받아 이루어진 연구(RS-2024-00406796, 2024년 산업혁신인재성장지원사업)로 지원에 감사드립니다.
References
- Rainbow Robotics, “https://rainbow-robotics.com/?_l=ko, ”
- RobotGPT, “https://robot-gpt.com/, ”
-
S. Jung, T. C. Hsia, and R. G. Bonitz, “Force tracking impedance control for robot manipulators with an unknown environment: Theory, simulation, and experiment,” International Journal of Robotics Research, vol. 20, no. 9, pp. 765-774, 2001.
[https://doi.org/10.1177/02783640122067651]
-
S. Jung, T. C. Hsia, and R. G. Bonitz, “Force tracking impedance control of robot manipulators under unknown environment,” IEEE Trans. on Control Systems Technology, vol. 12, no. 3, pp. 474-483, 2004.
[https://doi.org/10.1109/TCST.2004.824320]
-
G. Kang, H. S. Oh, J. K. Seo, U. Kim, and H. R. Choi, “Variable admittance control of robot manipulators based on human intention,” IEEE/ASME Trans. on Mechatronics, vol. 24, no. 3, pp. 1023-1032, 2019.
[https://doi.org/10.1109/TMECH.2019.2910237]
-
S. Wang, X. Shao, L. Yang, and N. Liu, “Deep learning aided dynamic parameter identification of 6-DOF robot manipulators,” IEEE Access, pp.138102-138116, vol. 8, 2020.
[https://doi.org/10.1109/ACCESS.2020.3012196]
-
P. N. Le and H. K. Kang, “Robot manipulator calibration using a model based identification technique and a neural network with the teaching learning-based optimization,” IEEE Access, vol. 8, pp. 180194-180204, 2020.
[https://doi.org/10.1109/ACCESS.2020.2999927]
-
R. Morgan and U. Ozguner, “A decentralized variable structure control algorithm for robotic manipulators,” IEEE Journal on Robotics and Automation, vol. 1, no. 1, pp. 57-65, 1985.
[https://doi.org/10.1109/JRA.1985.1086998]
-
K. Yousef-Toumi and O. Ito, “A Time-delay controller for systems with unknown dynamics,” Journal of Dynamic Systems, measurement, and Control, vol. 112, pp. 133-142, 1990.
[https://doi.org/10.1115/1.2894130]
-
T. C. Hsia, “On a simplified joint controller design for robot manipulators”, IEEE Conf. on CDC, 1024-1025, 1987
[https://doi.org/10.1109/CDC.1987.272551]
-
T. C. Hsia and L. S. Gao, “Robot manipulator control using decentralized linear time-invariant time-delayed joint controllers,” IEEE Conf. on Robotics and Automations, 2070-2075, 1990
[https://doi.org/10.1109/ROBOT.1990.126310]
-
P. H. Chang and S. H. Park, “On improving time-delay control under certain hard nonlinearities,” Mechatronics, vol. 13, pp. 393-412, May 2003
[https://doi.org/10.1016/S0957-4158(01)00046-0]
-
S. U. Lee and P. H. Chang, “The development of anti-windup scheme for time delay control with switching action using integral sliding surface,” Trans. ASME J. of Dyn. Syst. Meas. Control, vol. 125, no. 4, pp. 630-638, Dec. 2003
[https://doi.org/10.1115/1.1636775]
-
J. Y. Lee, P. H. Chang, and M. Jin, “Time-delay control with adaptive gain dynamics for robot manipulators,” IEEE AIM, pp. 118-123, 2017
[https://doi.org/10.1109/AIM.2017.8014005]
-
S. Jung, “A neural network technique of compensating for an inertia model error in a time-delayed controller for robot manipulators,” International Journal of Control, Automation and Systems, vol. 18, no.7, pp. 1863-1871, 2020.
[https://doi.org/10.1007/s12555-019-0197-z]
-
S. Jung, “Tutorial on implementation of time-delayed controllers in the cartesian space for robot manipulators,” International Journal of Control, Automation and Systems, vol. 27, no. 6, pp. 418-427, 2021.
[https://doi.org/10.5302/J.ICROS.2021.21.0001]
- S. Jung, S. T. Kim, J. Y. Lee, and S. C. Shin, “A study on a cartesian time-delayed control scheme for a robot manipulator,” Proc. of 2024 39th ICROS Annual Conference (ICROS 2024), 2024.
-
S. Jung and J. W. Lee, “Similarity analysis between a non-model-based disturbance observer and a time-delayed controller for robot manipulators in cartesian space,” IEEE Access, vol. 9, 2021.
[https://doi.org/10.1109/ACCESS.2021.3109568]
1988년 미국 웨인 주립대 전기 및 컴퓨터공학과 졸업. 1991년 미국 캘리포니아대 데이비스 전기 및 컴퓨터공학과 석사. 동 대학 박사. 1997년~현재 충남대학교 메카트로닉스공학과 교수. 관심분야는 지능 제어 시스템 및 지능 로봇 시스템, 다양한 밸런싱 메커니즘의 제어 및 응용, 유무인 수송체 시스템, 특수 로봇팔 설계 및 제어, 로봇팔 힘제어, 자이로 구동기 응용, 로봇교육.
2024년 2월 배재대학교 컴퓨터수학과 졸업. 2023~현재 충남대학교 메카트로닉스공학과 석사과정. 관심분야는 심층 신경회로망 응용, 로봇팔 제어 및 응용.
2023~현재 충남대학교 메카트로닉스 공학과 학석사과정. 관심분야는 센서기반 차량의 노면 상태 추정, 심층신경회로망 응용, 지능 시스템 및 제어.









