
슬라이딩 기구부를 갖는 이륜형 자기균형 로봇 제어
Copyright© ICROS 2025
Abstract
Two-wheeled self-balancing robot maintains balance and performs driving functions using two wheels, featuring excellent mobility due to its simple structure and wheel-driven system. However, when a long longitudinal structure is applied to increase space efficiency, challenges may arise in balance control and slope entry. In this study, a sliding mechanism and Model Predictive Control (MPC) were applied to achieve balance and driving control for a robot with a long longitudinal body. The system dynamics were analyzed using the Lagrangian method, and a reference for the sliding mechanism was generated to support balance control. Through Gazebo simulations, the performance of the MPC algorithm was verified, confirming that the robot could reach a stable balance state through Swing-up motion and maintain balance consistently. Additionally, stable driving performance was demonstrated in slope driving tests. We conducted experiments by applying the same algorithm to the actual robot, confirming that it successfully performed stable balance control and slope driving control in real-world environments.
Keywords:
Dynamic Model, model predictive control, wheeled robotI. 서론
이륜형 자기균형 로봇(two-wheeled inverted pendulum robot, TWIPR)은 두 개의 바퀴를 사용해 스스로 균형을 잡으며 주행하는 이동체를 말한다. TWIPR은 구조적으로 단순하고 유지보수가 용이하여 Segway나 Ninebot과 같은 개인 이동 수단으로 널리 활용되고 있다[1-6]. TWIPR은 물리적으로는 간단한 구조지만, Pitch 방향으로 불안정한 시스템이기 때문에 적절한 제어 없이 안정적인 주행이 어렵다[2]. 이에 따라 외란이 가해지거나 경사로를 주행할 때 균형을 유지하는 것이 TWIPR의 주요 제어 과제가 된다.
기존 연구들은 TWIPR의 균형 제어를 개선하기 위해 다양한 방법을 시도해왔다. 김현욱 등의 연구에서는 탑승자의 몸무게 변화에 따른 이륜 자기균형 로봇의 무게 중심(center of mass, CoM) 이동에 대응하기 위해 Pitch 레퍼런스 각도를 생성하고, PID 제어를 통해 균형을 유지하는 방식을 제안하였다[7]. 이러한 방식은 CoM 변화에 대응할 수 있지만 Pitch 각도만으로는 큰 CoM 변화에 대응하기에는 한계가 있다. 이승준 등의 연구에서는 슬라이딩 기구부를 도입하여 CoM의 위치를 변경함으로써 로봇에 가해지는 외력을 상쇄하고, PID제어를 통해 안정적인 균형 제어를 가능하게 하였다[8]. 이러한 방식은 로봇의 Pitch 각도를 유지하며 균형제어를 하는데 효과적이지만, 경사로 주행과 같은 환경에서의 검증이 필요하다. Huang 등의 연구에서는 터미널 슬라이딩 모드 제어(terminal sliding mode control, TSMC)를 적용하여 비대칭 하중과 속도 제어 문제를 개선했으며, 외부 교란과 모델 불확실성에도 강인한 성능을 보였다[9]. 이러한 접근 방식은 Pitch 각도를 유지하면서 속도를 제어하는 데 효과적이지만, 종 방향으로 긴 몸체를 가진 TWIPR에서는 더 복잡한 문제가 발생할 수 있으며, 특히 경사로 진입 시 지면과 몸체가 충돌할 위험이 있다. 이성호 등의 연구에서는 종 방향으로 긴 TWIPR을 활용하여, 불균형한 페이로드를 고려한 PID 제어를 통해 균형을 유지하였다. 또한, 경사로 주행 시에는 사용자가 로봇에 Pitch 레퍼런스를 제공하여 지면과의 충돌을 방지하였다[10]. 그러나 경사로에 진입할 때마다 사용자가 직접 래퍼런스 입력을 제공해야 한다는 점으로, 능동적인 경사로 주행이 어렵다는 점이 있다.
본 논문에서는 종 방향으로 긴 몸체를 가진 TWIPR의 균형 제어 문제를 해결하기 위해 선형 모션 기반의 슬라이딩 기구부를 추가하여 무게 중심을 조절한다. 슬라이딩 기구부를 통해 로봇의 무게 중심이 변화하는 상황에서도 균형을 유지하며 주행 안정성을 확보할 수 있다. 또한, 모델 예측 제어(model predictive control, MPC) [11]를 통해 최적의 제어 입력을 계산하였다. 특히, 경사로 주행을 위해 로봇의 전방과 후방에 최소한의 거리 측정 센서를 장착하여 경사로를 실시간으로 추정하고, 이를 Pitch 레퍼런스로 사용하여 사용자의 개입 없이 이도 지면과의 충돌 없이 주행할 수 있는 알고리즘을 제안한다. Gazebo 시뮬레이션을 통해 종 방향으로 긴 몸체를 가진 TWIPR의 제어 성능을 개선하고 검증하여, MPC 기반 제어 방식이 안정적인 균형 유지와 주행 성능을 제공할 수 있음을 확인하였다. 개발된 알고리즘을 실제 로봇에 적용하여 실험을 수행한 결과, 실제 환경에서도 안정적인 균형 제어를 수행하였고 경사로를 능동적으로 추종하여 효과적인 경사로 주행 성능을 입증하였다.
II. 시스템 동역학
1. 동역학
종 방향으로 긴 자기균형 로봇은 Fig. 1과 같이 몸체, 슬라이딩 모션을 위한 실린더, 그리고 휠로 구성되어 있다. 슬라이딩 기구부를 통해 실린더가 움직이면서 로봇의 몸체가 앞뒤로 이동하여 로봇의 CoM을 이동시킬 수 있다. 경사로와 적재물을 포함한 자기균형 로봇의 동역학은 Lagrangian 방식을 사용해 도출되며, 상태변수로는 𝑥, 𝑥𝑙, 𝜃를 사용하였다. 동역학 식은 식 (1)과 같고 사용된 파라미터는 Table 1에 정리하였다.
| (1) |
2. 실린더 래퍼런스 생성
시스템의 평형 상태를 가정하여 상태에서 식 (1)을 단순화하여 식 (2)와 같이 실린더 위치 래퍼런스 를 생성했다. 이 실린더 위치 래퍼런스를 시뮬 레이션과 실제 로봇에 적용하여 균형제어와 경사로 주행을 수행하였다.
| (2) |
3. 경사로 추정
종 방향으로 긴 자기균형 로봇이 지면과 충돌하지 않고 경사로를 주행하기 위해서는 경사로 추정이 필요하다. 본 논문에서는 로봇의 앞, 뒤 바닥면에 거리 측정 센서를 부착하여 지면과 로봇 사이의 거리를 측정하여 센서 데이터를 가지고 삼각함수를 사용해서 경사로를 추정하였다. 경사로 추정을 위한 시스템은 Fig. 2와 같다. 경사로 추정은 식 (3)을 통해 계산할 수 있고 변수들은 Table 2에 정리하였다.
| (3) |
III. 제어
선형 시간 불변 시스템(linear time-invariant, LTI)의 시간 가변 상태 공간 방정식은 다음과 같이 식 (4)으로 표현된다. 여기서 𝐴, 𝐵, 𝐶, 𝐷는 동역학 식으로부터 얻은 상태 행렬이며, 𝑋는 상태 변수, 𝑢는 입력 변수이다. 본 논문에서의 상태 변수와 입력 변수는 각각 와 𝑢 = [𝐹 𝐹𝑙]𝑇로 정의된다.
| (4) |
시간 가변 상태 방정식을 이산 시간(Discrete-time)으로 변환하기 위해 Zero-hold 방법을 사용하였다. Zero-hold 방법은 식 (5)와 같이 계산된다.
| (5) |
여기서 𝐶와 𝐷는 변하지 않으므로 그대로 사용한다. 이산 시간 상태 공간 모델은 식 (6)과 같이 나타낼 수 있으며, 𝑘는 시간 스텝을 의미한다.
| (6) |
MPC 모델은 식 (7)과 같은 비용함수를 최소화하며 문제를 해결한다.
𝑚𝑖𝑛𝑖𝑚𝑖𝑧𝑒
| (7) |
𝑠𝑢𝑏𝑗𝑒𝑐𝑡 𝑡𝑜:
식 (7)에서 첫 번째 항은 𝑋𝑁과 𝑋𝑟의 오차를 최소화하고 두 번째 항은 예측 지평선(Prediction horizon) 전체에 걸친 상태 오차와 제어 입력 𝑢𝑘의 크기를 최소화한다. 상태 𝑋𝑘 ∈ 𝑅𝑚와 입력 𝑢𝑘 ∈ 𝑅𝑛는 일정한 하한 및 상한 제한 조건을 갖는다. 제어 입력 𝑢𝑘는 시스템의 동적 성능을 조절하며, 에너지를 효율적으로 사용하고 시스템의 안정성을 보장하기 위해 가중치 𝑅 을 통해 제어 입력 크기를 최소화하는 방향으로 설계된다. 𝑁 은 예측 지평선의 수, 𝑋𝑁 은 예측 지평선의 마지막 상태, 𝑋𝑟 는 레퍼런스 상태, 𝑋𝑘 는 현재 상태, 𝑅 은 제어 입력에 대한 가중치, 𝑄𝑁 은 오차에 대한 가중치, 𝑄는 상태 오차에 대한 가중치이다. 여기서 𝑄 = 𝑄𝑁 ∈ 𝑅𝑚×𝑚 로 나타낼 수 있다.
IV. 시뮬레이션
1. MPC 제한조건 및 가중치 설정
이륜형 자기균형 로봇의 주행 성능을 검증하기 위해 Gazebo 시뮬레이션 환경을 사용하였다. 시뮬레이션에서 사용한 MPC 제한 조건과 각 상태변수, 입력 변수에 대한 제한조건은 식 (8)과 같고 가중치는 식 (9)과 같다.
| (8) |
| (9) |
𝑄는 상태에 대한 가중치, 𝑅은 제어 입력에 대한 가중치이다. 일반적으로 PID 제어 방식을 사용하여 자기균형 로봇을 제어할 경우, 로봇의 몸체가 지면에 닿으면 시스템이 발산하는 문제가 발생한다. 그러나 본 논문에서는 에 제한 조건을 두어 로봇의 몸체가 지면에 닿게 되더라도 발산하지 않고 다시 균형 제어를 수행할 수 있도록 하였다.
2. 균형 제어 실험
먼저, 모델 예측 제어(MPC)를 통해 균형 제어가 제대로 수행되는지 실험을 진행하였다. Fig. 3과 같이 초기에 로봇이 지면에 닿아 있는 상태에서 Swing-up 모션을 통해 로봇을 균형 상태로 전환한 후, 균형 제어를 잘 수행하는지 확인하였다. 실험 결과는 Fig. 4에 나타나 있으며, 이를 통해 MPC 기반 균형 제어의 성능을 평가할 수 있었다. 실험 결과, 초기상태에서 Swing-up 모션을 통해 로봇의 Pitch 각도가 -18.19°에서 0°에 근사하게 수렴하는 것을 확인하였다.
3. 경사로 주행 실험
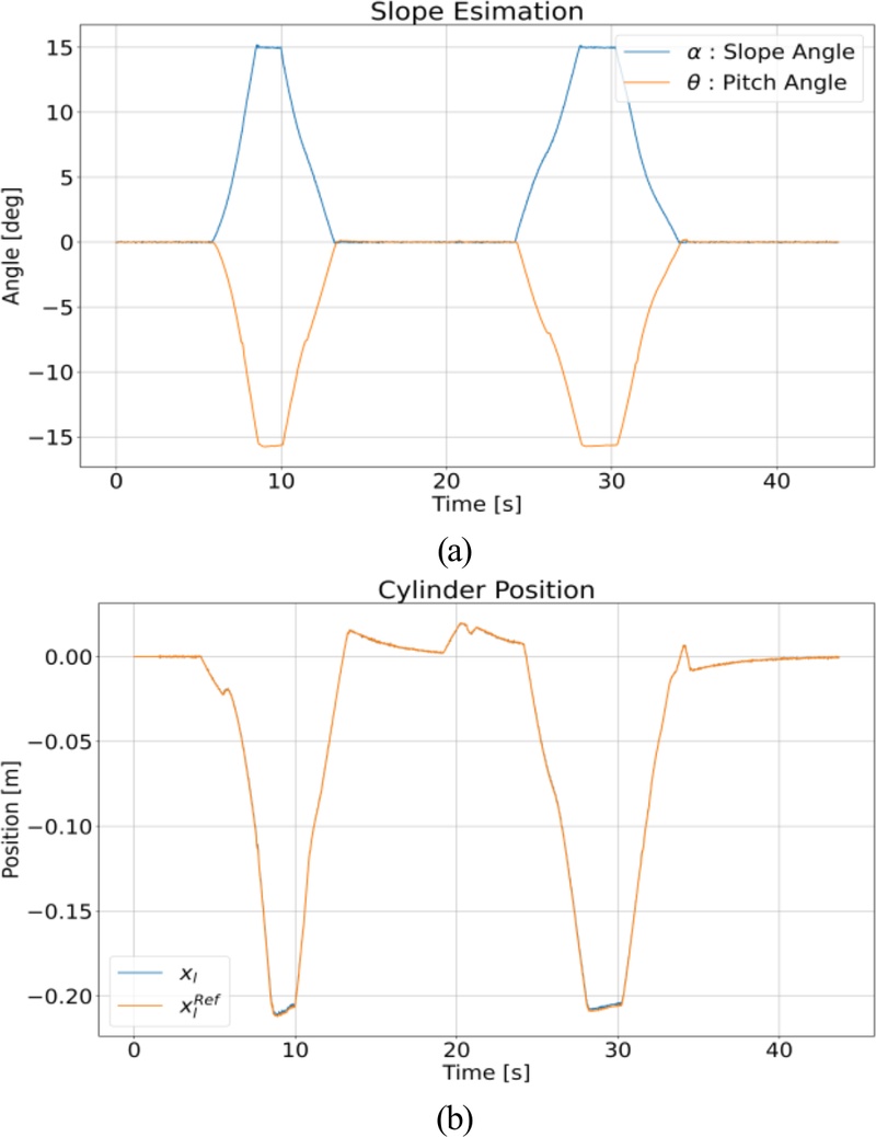
다음 실험에서는 로봇의 경사로 주행을 실험하기 위해 Fig. 5와 같이 15° 경사도를 오르는 실험을 수행하였다. 경사로를 추정하기 위해 로봇의 전방과 후방에 거리 측정 센서를 장착하여 바닥과의 거리를 측정하였다. 경사로를 충돌 없이 진입하기 위해서는 경사각을 추정하고, 이를 기반으로 Pitch 각도레퍼런스를 설정한 후, 이에 맞는 실린더 레퍼런스를 생성해야 한다. 경사로에서 중력을 보상하기 위해 휠 토크로 𝑔(𝑚𝑐 + 𝑚𝑡 + 𝑚𝑑 + 𝑚𝑤)𝑟𝑠𝑖𝑛 (𝛼) 를 Feedforward 하게 입력으로 넣어주었다. 실험 결과는 Fig. 6과 같다.
실험 결과 거리측정 센서를 통해 경사로를 잘 추정하였으며, 지면과 충돌하지 않고 경사로 주행이 가능함을 확인하였다. Fig. 6의 (a)에서 파란선은 센서를 통해 추정한 경사각이고 주황선은 IMU로 측정한 로봇의 실제 Pitch 각도를 나타낸다. 두 값이 대칭인 이유는 추정 경사는 시계 방향이 + 인 반면 실제 로봇에서는 반시계 방향이 + 로 설정되어 있기 때문이다. 따라서 거리센서를 통해 15°의 경사를 추정하고 -15°의 Pitch 래퍼런스를 잘 추종한 것을 확인할 수 있다. 또한, Pitch 래퍼런스를 추종하기 위한 실린더 래퍼런스도 잘 추종하여 지면과 충돌 없이 주행하였다.
V. 실험
제어 알고리즘을 소형 플랫폼에 적용하여 실제 제어 성능을 검증하기 위해 실험을 수행하였다. 소형 플랫폼의 사진은 Fig. 7에, 사양은 Table 3에 정리하였다. 이 플랫폼은 2개의 인-휠 모터와 슬라이딩 기구부용 BLDC 모터로 구성되어 있다. 슬라이딩 기구부는 RMD X6 모터와 풀리를 통해 볼스크류를 구동하여 회전 운동을 직선 운동으로 변환하여 구현하였다.
소형 플랫폼에 균형 제어와 경사로 주행을 위한 알고리즘을 적용하려면, 플랫폼의 특성에 맞춘 동역학 분석이 필수적이다. 이에 필요한 소형 플랫폼의 동역학적 파라미터는 Table 4에 정리하였다.
1. 균형제어 실험
Fig. 8과 같이 로봇이 지면에 닿아 있는 상태에서 Swing-up 모션을 통해 로봇을 균형 상태로 전환한 후, 균형 제어를 잘 수행하는지 확인하였다. 실험 결과는 Fig. 9에 나타나 있으며, 이를 통해 MPC 기반 균형 제어의 성능을 평가할 수 있었다. 실험 결과, 초기상태에서 Swing-up 모션을 통해 로봇의 Pitch 각도가 -18.4°에서 0°에 근사하게 수렴하는 것을 확인하였다.
2. 경사로 주행 실험
다음 실험에서는 Fig. 10과 같이 약 8° 경사로를 주행하며 중간에 멈추었다가 다시 주행하는 실험을 수행하였다. 로봇 전후방에 장착된 거리 측정 센서를 통해 바닥과의 거리를 측정하여 경사각을 추정하였다. Fig. 11의 (a)에서 파란색 선은 센서를 통해 추정된 경사각을, 주황색 선은 IMU로 측정한 로봇의 실제 Pitch 각도를 나타낸다. 경사각은 시계 방향을 +로, 로봇의 Pitch 각도는 반시계 방향을 +로 설정하여 두 값이 대칭적으로 나타났다. 실험 결과, 실제 Pitch 각도가 래퍼런스 각도보다 약 3° 더 기울어졌지만 균형 제어에는 문제가 발생하지 않았고, 로봇은 경사로에서 안정적으로 균형을 유지하며 주행하였다.
Fig. 11의 그래프에서 약 4초부터 12초까지는 경사로 주행 구간을, 12초부터 15초까지는 경사로에서의 정지 구간을, 15초부터 22초까지는 경사로를 다시 주행하는 구간을, 그리고 22초 이후는 주행 완료 구간을 나타낸다. Fig. 10의 사진에서는 각 구간에서의 로봇 상태를 시각적으로 확인할 수 있다. 또한, Fig. 11의 (b)에서는 실린더 위치와 래퍼런스가 일관되게 추종되는 모습을 확인할 수 있었다. 이를 통해 경사로 주행 중에도 실린더 위치 제어가 효과적으로 이루어져, 지면과의 충돌 없이 안정적인 주행이 가능함을 확인하였다.
VI. 결론
본 연구에서는 종 방향으로 긴 이륜형 자기균형 로봇의 균형 제어 성능을 향상시키기 위해 슬라이딩 기구부와 MPC를 결합한 제어 방식을 적용하였다. 시스템의 동역학은 Lagrangian 방법을 통해 해석하였고, 도출된 동역학 방정식을 바탕으로 실린더 레퍼런스를 생성하여 균형 제어에 활용하였다. Gazebo 시뮬레이션을 통해 모델 예측 제어(MPC) 기반 균형 제어 알고리즘을 검증한 결과, Swing-up 모션 및 자기균형 제어를 통해 로봇이 지면에서 안정적으로 균형 상태를 유지하는 것을 확인하였다. 또한, 경사로 주행 실험에서는 센서를 통해 생성된 Pitch 레퍼런스를 정확히 추종하여 지면과의 충돌 없이 안정적으로 경사로를 주행할 수 있음을 입증하였다. 동일한 알고리즘을 실제 로봇 플랫폼에 적용하여 제어 성능을 검증한 결과, 실험 환경에서도 알고리즘이 효과적으로 작동하며 균형 제어와 경사로 주행제어가 잘 이루어짐을 확인하였다. 이를 통해 본 연구의 제어 알고리즘이 시뮬레이션뿐만 아니라 실제 로봇에서도 높은 신뢰성을 갖고 작동함을 입증하였다.
따라서 종 방향으로 긴 로봇 구조에서도 안정적인 균형 제어가 가능함을 확인하였으며 경사로에서도 안정적인 주행 제어가 가능함을 확인하였다. 향후 연구에서는 다양한 환경과 외란 조건에서의 추가 실험을 통해 알고리즘의 성능을 향상시킬 예정이다.
Acknowledgments
이 논문은 2024년 정부(방위사업청)의 재원으로 국방기술진흥연구소의 지원을 받아 수행된 연구임(No. 20-107-C00-007-02(KRIT-CT-22-001, 보행+주행 복합 이동 제어 기술)).
REFERENCES
-
J. Yu, Y. Park., S. Kim, and S. Kwon, “Development of a omni-directional self-balancing robot wheelchair,” The Journal of Korea Robotics Society (in Korean), vol. 8, no. 4, pp. 229-237, 2013.
[https://doi.org/10.7746/jkros.2013.8.4.229]
-
G. S. Krishna, D. Sumith, and G. Akshay, “Epersist: a two-wheeled self balancing robot using PID controller and deep reinforcement learning,” 2022 22nd International Conference on Control, Automation and Systems (ICCAS), Jeju, Korea, pp. 1488-1492, 2022.
[https://doi.org/10.23919/ICCAS55662.2022.10003940]
-
H. G. Nguyen, J. Morrell, K. D. Mullens, A. B. Burmeister, S. Miles, N. Farrington, K. M. Thomas, and D. W. Gage, “Segway robotic mobility platform,” Mobile Robots XVII, vol. 5609, Philadelphia, USA, pp. 207-220, 2004.
[https://doi.org/10.1117/12.571750]
-
J. Li, X. Gao, Q. Huang, Q. Du, and X. Duan, “Mechanical design and dynamic modeling of a two-wheeled inverted pendulum mobile robot,” 2007 IEEE International Conference on Automation and Logistics, Jinan, China, pp. 1614-1619, 2007.
[https://doi.org/10.1109/ICAL.2007.4338830]
-
A. Sinha, P. Prasoon, P. K. Bharadwaj, and A. C. Ranasinghe, “Nonlinear autonomous control of a two-wheeled inverted pendulum mobile robot based on sliding mode,” 2015 International Conference on Computational Intelligence and Networks, Odisha, India, pp. 52-57, 2015.
[https://doi.org/10.1109/CINE.2015.20]
-
D. Choi and J. H Oh. “Human-friendly motion control of a wheeled inverted pendulum by reduced-order disturbance observer,” 2008 IEEE International Conference on Robotics and Automation, Pasadena, CA, USA, pp. 2521-2526, 2008.
[https://doi.org/10.1109/ROBOT.2008.4543592]
-
H. W. Kim and S. Jung. “Experimental studies of controller design for a car-like balancing robot with a variable mass,” Journal of The Korean Institute of Intelligent Systems (in Korean), vol. 20 no. 4, pp. 469-475, 2010.
[https://doi.org/10.5391/JKIIS.2010.20.4.469]
-
S. Lee and S. Jung. “An experimental study on balancing stabilization of a service robot by using sliding mechanism,” Journal of Institute of Control, Robotics and Systems (in Korean), vol. 19, no. 3, pp. 233-239, 2013.
[https://doi.org/10.5302/J.ICROS.2013.12.1768]
-
J. Huang, F. Ding, T. Fukuda, and T. Matsun o, “Modeling and velocity control for a novel narrow vehicle based on mobile wheeled inverted pendulum,” IEEE Transactions on Control Systems Technology, vo. 21, no. 5, pp. 1607-1617, 2012.
[https://doi.org/10.1109/TCST.2012.2214439]
-
S. Lee, S. Yoon, Y. Jeong, J. Seo, S. Park, S. Han, J. T. Kim, J. Kim, H. R. Choi, and J. Cho, “Design and implementation of a two-wheeled inverted pendulum robot with a sliding mechanism for off-road transportation,” IEEE Robotics and Automation Letters, vol. 8 no. 7, pp. 4004-4011, 2023.
[https://doi.org/10.1109/LRA.2023.3279585]
-
D. Choi, “Model predictive control of autonomous delivery robot with non-minimum phase characteristic,” International Journal of Precision Engineering and Manufacturing, vol. 21, no.5, pp. 883-894, 2020.
[https://doi.org/10.1007/s12541-019-00303-w]
2020년 명지대학교 기계공학과(공학사). 2022년 명지대학교 기계공학과(공학석사). 2022년~현재 명지대학교 기계공학과 박사과정 재학 중. 관심분야는 로봇 설계, 로봇 제어, 이동 로봇.
2019년 국민대학교 기계시스템공학부(공학사). 2021년 국민대학교 기계설계학과(공학석사). 2022~현재 현대로템㈜ 무인체계팀 연구원 재직 중. 관심분야는 보행 로봇, 무인 체계.
2005년 한국과학기술원 기계공학과(공학사). 2007년 한국과학기술원 기계공학과(공학석사). 2012년 한국과학기술원 기계공학과(공학박사). 2018년~현재 명지대학교 기계공학과 교수. 관심분야는 로봇 설계, 로봇 제어, 이동 로봇.












